断裂力学是近几十年才发展起来了的一门新兴学科,主要研究承载体由于含有一条主裂纹发生扩展(包括静载及疲劳载荷下的扩展)而产生失效的条件。断裂力学应用于各种复杂结构的分析,并从裂纹起裂、扩展到失稳过程都在其分析范围内。由于它与材料或结构的安全问题直接相关,因此它虽然起步晚,但实验与理论均发展迅速,并在工程上得到了广泛应用。断裂力学研究的方法是:从弹性力学方程或弹塑性力学方程出发,把裂纹作为一种边界条件,考察裂纹顶端的应力场、应变场和位移场,设法建立这些场与控制断裂的物理参量的关系和裂纹尖端附近的局部断裂条件。目前,断裂力学总的研究趋势是:从线弹性到弹塑性;从静态断裂到动态断裂;从宏观微观分离到宏观与微观结合;从确定性方法到概率统计性方法。所以就断裂力学本身而言,根据研究的具体内容和范围,它又被分为宏观断裂力学(工程断裂力学)和微观断裂力学(属金属物理范畴)。宏观断裂力学又可分为弹性断裂力学(它包括线性弹性断裂力学和非线性弹性断裂力学)和弹塑性断裂力学(包括小范围屈服断裂力学和大范围屈服断裂力学及全面屈服断裂力学)。工程断裂力学还包括疲劳断裂、蠕变断裂、腐蚀断裂、腐蚀疲劳断裂及蠕变疲劳断裂等工程中重要方面。如今在断裂力学研究方法中,又引入可靠性理论,称为概率断裂力学,使断裂力学的研究内容更加丰富,也使断裂力学的理论得到进一步的发展和完善,并在工程实际中发挥出越来越大的指导作用。为研究材料内部含有裂纹对材料强度有多大影响,上世纪20年代的格里菲斯首先研究了含裂纹的玻璃强度,并得出断裂能量的关系:
这就是著名的格里菲斯断裂判据,其中,G 为裂纹尖端能量释放率,γs 是表面自由能(材料每形成单位裂纹面积所需能量)。由此关系可得格里菲斯裂纹应力和裂纹尺寸关系:

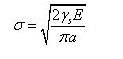
式中,a为裂纹长度。若G>2γs,裂纹将扩展;若G<2>γs,裂纹不会扩展;若G=2γs,为极限状态。又,若裂纹扩展,且dG/da>0,可以确定为失稳扩展;若裂纹扩展,且dG/da<0>裂纹顶端区域弹性应力场强度因子的简称,是线弹性力学中反映裂纹顶端区域弹性应力场强弱的力学参数,以符号KI 表示。对裂纹顶端附近区域应力场的研究可知:靠近裂纹顶端的应力,在趋近于裂纹顶端处,其数值以某种方式趋向于无穷大,即具有奇异性。因此,不能用此处应力来衡量其强度。而KI 值能反映裂纹顶端区域弹性应力场的强度,它的数值大小与所受荷载的大小、裂纹尺寸及几何形状有关,格里菲斯裂纹的数学表达式为:
其中,σ 为应力,a 为裂纹长度,按裂纹扩展的三种形式有KI、KII、KIII,分别表示 I 型,II 型和 III 型裂纹的应力强度因子。其中,对于 I 性裂纹:
注:应力强度因子适用于裂纹尖端塑性区比 K 场区小几倍,也比裂纹长度小几倍,如韧性材料。1968年由赖斯 (J.R.Rice) 提出。它反映裂纹顶端由于大范围屈服而产生的应力、应变集中程度。J积分的定义是:
用于研究平面问题,它代表与裂纹扩展有关的能量。式中右侧第一项是与应变能有关的能量,其中,W 是应变能的密度(即单位体积应变能)。在弹塑性情况下,为单调加载过程中试件各处体元所接受的应力变形功密度(包括弹性应变能和塑性变形功)。第二项是ds 上面力分量;ds 是路径Γ 上的弧元。
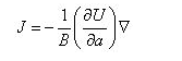
式中,B 为试件厚度,U 为试件的形变功,▽为给定位称。上式是 J 积分得以实验测定的基础。断裂力学中表示裂纹在材料中发生稳定扩展行为的曲线(下图所示)。纵坐标为裂纹扩展的阻力,用 J 积分、CTOD的δ 或应力强度因子K 表示,横坐标为裂纹扩展量△a。裂纹未扩展时曲线与纵轴重合,一旦扩展则△a≠0,曲线便偏离纵轴,拐点即为起裂点。再后面表示稳定扩展过程。当曲线上某点的切线能通过水平负轴上表示裂纹长度的点时,表示将发生失稳扩展。失稳时裂纹扩展推动力与裂纹扩展阻力随裂纹尺寸的变化率相同,不需加载裂纹即会自行快速扩展而断裂。阻力曲线可以用试样测试,可用于确定起裂值(δi 或JIC)或条件起裂值(δ0.005或J0.005等),也可用以预测构件中裂纹发生亚临界扩展的过程。

随着断裂力学研究的日益深入,需要求解的问题日趋复杂化和多样化,使得如何建立高效、高精度的计算方法成为学者们研究的热点。由于计算机科学、计算数学和力学等学科的不断发展,用于解决断裂力学问题的数值计算方法不断涌现,从早期的有限差分法、有限元法、边界元法到现在的无网格法、数值流形法、小波数值法、非连续变形分析等,它们正成为推动断裂力学研究不断发展的重要工具。有限元法:
在有限元解的情况下,通过应力恢复、误差估计和新网格自动划分,进而再进行有限元求解,重复这一过程直至得到满意的有限元解。另外,随机分析是断裂力学发展的一个重要方向,也是结构可靠性评估的基础。随机有限元法在有限元法的基础上,采用随机参数来描述工程实际问题,主要研究内容包括随机变分原理、随机有限元控制方程的建立及其求解。边界元法:
这是继有限元法之后发展起来的一种求解力学问题的数值方法。其构成包含如下三个主要部分:这种方法的优点是应用Guass定理使问题降阶,将三维问题化为二维问题,将二维问题化为一维问题,使数据的准备大为简化,网格的划分和重新调整更为方便,最后形成的代数方程组的规模也小得多。
无网格法:
也叫无单元法。该方法将整个求解域离散为独立的节点,而无须将节点连成单元,它不需要划分网格,从而克服了有限元法在计算过程中要不断更新网格的缺陷。计算过程中可以实时跟踪裂纹尖端区域进行局部细化,将连续的裂纹扩展过程看作多个线性增量,每一个增量内裂纹扩展角根据应力强度因子确定。通过在裂纹尖端细化节点引入外部基函数提高计算精度。
数值流形法:
该方法的基本思想是将微分几何的流形原理引入材料分析,以拓扑流形与微分流形为基础,同时吸收有限元中插值函数构造方法与非连续变形分析中块体运动学理论两方面的优势,把连续和非连续变形力学问题统一起来。
小波数值法:
该方法利用了小波具有的良好局部化特性,用小波函数对位移场进行逼近,建立了小波数值计算格式,模拟了裂纹尖端的奇异性问题并求解出裂纹尖端的应力强度因子。上述方法或理论均源于格里菲斯的断裂理论,是建立在奇异性基础上的,即均基于裂纹顶端应力与应变为无限大的模式展开的。Inglis数学尖裂纹模型的弹性力学解释断裂理论的基础,这种数学尖裂纹上下表面间距为零,裂纹顶端曲率半径也为零,因而有弹性力学求出的应力分量在裂纹顶端处为无限大,这种现象称为奇异性。奇异性理论一直延续至今,但奇异性断裂力学在物理上存在本质的缺陷,这主要表现在两方面:- 其一,在实际中发现的裂纹其上下表面间距和裂纹顶端曲率半径都是有限值,且不等于零;
- 其二,实际裂纹,即使在裂纹顶端,应力与应变均为有限值,不存在所谓的应力与应变的奇异性。
这样,基于数学尖裂纹和应力奇异性的物理量缺乏坚实的物理基础。为了完善理论,呈现非奇异性,可以采用比较符合真实情形的半圆形顶端的钝裂纹(或切口)模型,但钝裂纹的曲率半径的测量需要用金相的方法测出,这就需要金相断裂力学的发展。
弹塑性断裂力学虽取得了一些进展,但仍有许多尚待深入研究的问题,它是当前断裂力学的主要研究方向之一。断裂动力学,对于线性材料还有待完善;对于非线性材料,尚处于研究初期,是断裂力学的又一主要研究方向。随着对断裂问题的深入研究及数学工具的方便使用,断裂力学理论会日益成熟,断裂力学应用会日渐广泛。对于数值计算方法,其未来的发展趋势为:跨尺度的断裂力学数值计算方法、并行数值计算方法、解析法与数值法的结合、多种计算方法的有机结合、数据处理自动化。