01 模型参数概述 梁截面尺寸为150×300、跨度2400mm,混凝土强度等级为C30 ,采用混凝土塑性损伤模型。 为防止混凝土梁局部受压破坏,在支座和受力点处设置厚度为150×100×60mm的钢垫片,理想弹塑性钢材。 下部受拉筋2∅18 、架立筋2∅8 、箍筋双肢∅8@100 。箍筋采用HPB300 ,屈服强度为300MPa ,纵筋采用 HRB400 ,屈服强度为 400MPa ,均为理想弹塑性模型。 在建立模型前,必须先确定量纲系统。ABAQUS 没有固定的量纲系统,一个项目所有的输入数据只能用同一个量纲系统,下表为常用的量纲系统,我们通常采用mm,N,t,Mpa对应的量纲。 首选的是在ABAQUS/CAE环境中直接生成部件,也可以由其它软件生成几何体或有限元网格,再导入作为部件。 本文混凝土、垫块采用3D,solid(实体),通过Extrusion(拉伸)绘制;钢筋采用3D,Wire(线)直接绘制。 通常考虑到后期可能会分析部件材料特性对结果的影响,因此即使几何属性相同,也需绘制各自的部件,另外在未装配之前,部件颜色均默认为白色。 在此模块中需定义混凝土、钢筋和垫片的材料本构参数和截面特性,并将截面特性赋予到相应的部件上,也就是先将材料赋给一个截面,然后再把截面赋给部件。 (1)混凝土的本构参数 需设置密度,弹性模量,泊松比等参数,再定义混凝土损伤塑性模型,填入塑性损伤参数,以及压缩特性和拉伸特性的批量数据,注意完成后返回检查,防止因BUG导致数据的错误。 定义HRP400钢筋的质量密度,弹性参数,塑性参数;定义HPB300钢筋的质量密度,弹性参数,塑性参数。 (3)截面特性的创建和指派 在创建截面时,一方面需要注意命名方式与之前部件命名相统一,防止在给部件赋予截面特性时混乱。 另一方面在定义Truss单元时,横截面积(Cross-Sectional area)指的是杆的横截面积。也就是当定义钢筋截面属性,如架立筋直径8mm时,横截面积为50.24,用户在定义时要特别注意单位的统一。 每一个部件都是面向它自己的坐标系的,是互相独立的。用户需要在Assembly 模块中定义整个装配件的几何形体。 整个过程中可以对建立的各个部件进行移动,旋转,阵列复制,添加几何约束等操作,将多个部件组装成一个整体。 4. Step(分析步)模块 对模型施加荷载、边界条件或定义模型的接触问题之前,必须定义分析步,然后才可以指定在哪一步施加荷载,在哪一步施加边界条件,哪一步去定义相互关联。 ABAQUS 的各种载荷要分别加载在不同的分析步中,比如像竖向载荷、偏转角度、水平载荷要分别建立三个分析步。常用的分析类型有通用分析(General)和线性摄动分析(Linear perturbation)两种。 通常使用静力,通用分析较多,本次考虑到动态显式计算速度快,稳定性好,所以采用动力、显式分析步,分析步总时长为10s。 然后创建场变量,将需要输出的成果选中,如塑性损伤模型要输出损伤数据,需要自行选中,以便计算完毕可以显示出混凝土的损伤过程。 5. Interaction(相互作用)模块 创建接触对是比较麻烦和耗时的,这里面要注意下面几个问题:主面和从面的选择,滑动模式的选择,离散方法的选择等,其中主从面的选择要特别注意。 一般是将刚度较大,网格较粗的面作为主面。本次选取垫块为主面,梁为从面。支座垫块和跨中加载垫块与混凝土梁之间采用 Tie(绑定)约束——T1/B1/B2。 为了防止加载过程中出现应力集中,在三个垫块中心建立参考点,同时建立参考点与垫块表面的Coupling(耦合)约束——T11/B11/B22。再利用 Embedded region(内置区域)将钢筋骨架嵌入到混凝土中。 6. Load(加载)模块 在加载模块(load)中施加边界条件和荷载。施加边界条件和载荷也依赖于所建立的分析步。 按照简支梁边界条件,左边固定铰(限制 U1、U2、U3、UR1),右边竖向链杆(限制 U2、U3、UR1)。 为了提高计算收敛性,荷载加载方式为位移加载,在梁跨中施加沿 y 轴负方向的位移,大小为 15 mm。在这里不考虑扭转的作用,梁分析作为纯弯或压弯构件,只需限制UR1。


















7. Mesh(网格)模块 划分网格前,首先要指定各个部件的网格单元类型。混凝土梁和垫块的类型为 C3D8R,为了避免出现较严重的沙漏现象和网格扭曲,打开网格扭曲控制开关,同时沙漏控制设置为增强。钢筋骨架的单元类型选为T3D2,其余设置默认。

布种时,有“边界布种”和”全局布种”两类,对于规则的部件,我们选择后者“实例布种“,三个部件的近似全局尺寸统一取20,尺寸控制依据预期模型精度和整体尺寸而定。 这里可以做很多优化,划分网格通常可以在自己关注的地方精度高些,不关注的地方划分粗略些,提高计算速度。 需要注意的是实体之前被定义为dependent(非独立)时,是无法被划分网格的,另考虑到后期的复制操作,建议在装配完,及时为整个装配件划分网格。 8. Job(分析作业)模块 当前面的所有设置完成以后就可以提交分析,只需要选择分析类别(完全分析,重启动分析),提交分析作业即可。






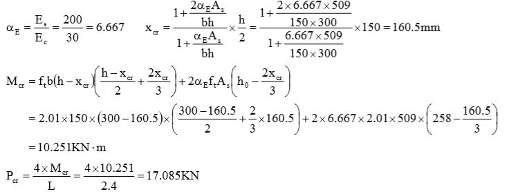
从开始加载到即将出现裂缝之前的状态,为梁为开裂阶段,荷载—位移曲线为直线,此阶段末的荷载为梁开裂荷载,近似为17KN,之后梁进入带裂缝工作阶段,梁的刚度减小,随着荷载增加,位移增长速度明显加快,钢筋应力此时还未到达屈服应力。 钢筋应力达到屈服强度时,荷载—位移曲线出现第二个在转折点,梁的刚度迅速下降,位移急剧增大,曲线变得十分平缓,几乎呈水平状发展,梁进入了破坏阶段,破坏荷载近似为 102 KN。 单筋矩形截面受弯极限承载力计算公式 通过对比分析理论解与数值解,发现数值解的开裂荷载与理论解十分接近,但极限荷载之间相差25%。 经过分析,认为原因如下:钢筋骨架与混凝土之间利用 Embedded region 可以很方便的粘结在一起,但是无法实现钢筋的滑移,这与实际情况有所偏差,导致梁的计算刚度比实际大很多。另外本文采用的极限状态理论是简化计算方法,得到的并不是精确解,也有一定的影响。 有限元分析是将钢筋混凝土模型简化为具有均匀性、各向同性等特点,很明显这种简化与实际结构性能本身就存在差异;边界条件设置也会影响结果,将结构取四分之一,采用对称边界条件,同时直接建立参考点与梁之间的约束,弃用 Tie 约束,可能结果会有所改善,同时可以大幅降低计算时间。 更多仿真分析案例及相关知识技巧,欢迎访问元王仿真云(www.featechweb.cn)——集仿真项目咨询,CAE学习培训,设计工具应用,仿真人才招聘、仿真新闻资讯于一体的CAE仿真行业垂直服务平台。服务仿真,助力设计,专业为你!


深圳市有限元科技有限公司(简称元王)成立于2007年,是一家以计算机辅助工程CAE(Computer Aided Engineering)为主业,以工程仿真软件开发为核心,集CAE咨询、CAE培训、CAE软件研发与销售为一体的高科技企业。 依托深厚的CAE技术背景和工程经验,为客户提供高水平的CAE工程咨询服务,为企业创造价值。