在有限元分析中,接触问题的处理直接影响仿真分析的计算精度和收敛性。其中,点面接触(N2S)和面面接触(S2S)是两种主流的接触离散方式。对于N2S和S2S,你是否有弄清楚这两者的关系及区别呢?
不清楚也没关系,通过这篇内容,我将从多个方面进行详细阐述,让你一文读懂有限元分析中的N2S和S2S。
在机械装配、材料成型、生物力学等工程领域中,接触现象普遍存在。以汽车刹车系统为例,刹车片与刹车盘的接触压力分布直接影响制动效能;在航空发动机中,涡轮叶片与机匣的间隙控制对热效率至关重要。
这些实际场景的共同特征是:接触面间的相互作用具有非线性、多物理场耦合的特点,传统线性分析方法难以准确捕捉其力学行为。
有限元分析(FEA)通过离散化方法将连续体划分为单元,但在接触问题中需额外处理三个关键技术点:
①接触状态的非线性:接触区域可能随载荷变化从分离转为接触;
②法向不可穿透性:确保从节点不穿透主面;
③切向摩擦行为:需考虑静摩擦、动摩擦及粘滑现象。
这里我先从点面接触(N2S)开始,后面再说面面接触(S2S),再看两者之间对比等。
01
点面接触(N2S)
定义:每个从节点在搜索距离内寻找一个主面,沿主面法向投影建立接触单元。接触力通过弹簧单元(线状单元)传递,形成“一对一”传力模式。
特点:接触单元形状不规则,接触力分配不均匀。适用于接触区域小、尖角接触(如齿轮啮合)或大接触面场景。
算法原理:点面接触采用主从面算法,其核心步骤如下:
①搜索阶段:对每个从节点,在给定搜索半径内查找可能接触的主面。
②投影阶段:将节点沿主面法向投影至主面,形成虚拟接触点。
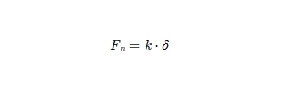
③接触力计算:通过罚函数法建立接触力与穿透量的关系:

式中,k为接触刚度,δ为穿透量
案例分析:比如在某型齿轮啮合分析中,采用点面接触模拟齿面接触:
模型设置:从面为齿顶细网格,主面为齿根粗网格。
结果对比:接触压力峰值误差<5>
计算效率:相比面面接触,求解时间缩短40%。
02
面面接触(S2S)
定义:从面片通过高斯点与主面片建立多个接触单元,接触力通过rbe单元(多点约束)均匀分配到主面,形成“多对多”传力模式。
特点:接触压力分布更均匀,位移、应变结果更光顺。适用于高精度需求场景(如应力集中分析)。
算法原理:面面接触引入Mortar积分方法,其技术亮点包括:
①双面投影:在从面和主面同时建立积分点,实现双向接触力传递。
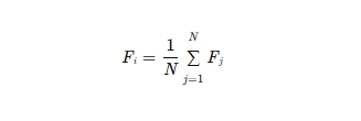
②接触力平均化:通过RBE单元将接触力分配到周边节点,公式表示为:

式中,N为积分点数量
③滑移处理:采用预测-校正算法处理接触面间的相对滑动。
案例分析:比如某航空发动机涡轮叶片-机匣间隙分析:
模型设置:采用面面接触,设置摩擦系数0.15。
结果对比:接触压力分布光顺,最大应力值与实验误差<3>
计算效率:虽然单步计算时间增加20%,但收敛迭代次数减少35%。
03
上面分享了两者的定义、特点、算法原理等,那么对于两者的精度和效率对比,我用表格列出来。这样一看就清楚,熟悉后就可以在面对不同场景时快速选择。

推荐使用点面接触的情况:
接触区域存在尖角或线-面接触(如齿轮啮合)。 非线性收敛调试阶段,需快速迭代参数。 接触面极大(如大型结构装配),需减少计算量。
推荐使用面面接触的情况:
需高精度应力分析(如疲劳寿命预测)。 接触区域存在复杂滑动或摩擦行为。 接触面网格密度均匀且资源充足时。
04
建模与求解优化技巧
网格划分:
接触区域局部加密,非接触区域粗化以节省计算资源。
主面网格不宜比从面更细,避免穿透。
接触算法选择:
罚函数法:计算效率高,但精度依赖接触刚度(建议FKN=0.01-10)。
拉格朗日乘子法:精度高,但可能引入数值振荡。
收敛性调试:
初始接触条件设置:通过PMIN/PMAX控制初始渗透范围。
平衡迭代次数(NEQIT=25-50)和线性搜索(LNSRCH=1)提升稳定性。
点面接触与面面接触各有优劣,选择需结合具体项目需求。对于初步分析或大模型简化,点面接触效率更优;而高精度场景下,面面接触是更可靠的选择。实际工程中,建议通过试算对比两种方法的收敛性、精度及计算资源消耗,最终确定最优方案。
上一篇:模态分析中一般取几阶比较好?
下一篇:CAE仿真培训都包含哪些内容?